原创公众号:
bigsai专注于Java、数据结构与算法,一起进大厂不迷路!
关注后回复进群即可加入力扣打卡群,欢迎划水。近期打卡:
LeetCode打卡 52八皇后Ⅱ&53最大子序和&54螺旋矩阵
LeetCode 55跳跃游戏&56合并区间&57插入区间
跟我打卡LeetCode 58最后一个单词长度&59螺旋矩阵Ⅱ&60排列序列
跟我打卡LeetCode 61旋转链表&62不同路径&63不同路径 II
最小路径和

简单的动态规划,只能向右或者向下,所以可以使用动态规划动态的找到最小路径和,先对第一行和第一列特殊处理,然后顺序遍历数组的时候状态转移方程为:
dp[i][j]=Math.min(dp[i-1][j],dp[i][j-1])+grid[i][j];
其中dp[i][j]意为第i行第j列的最小路径和。
具体代码为:
public int minPathSum(int[][] grid) {
int m=grid.length;
int n=grid[0].length;
int dp[][]=new int[m][n];
dp[0][0]=grid[0][0];
//先初始化第0行和第0列
for(int i=1;i<n;i++)
{
dp[0][i]=dp[0][i-1]+grid[0][i];
}
for(int j=1;j<m;j++)
{
dp[j][0]=dp[j-1][0]+grid[j][0];
}
//System.out.println(Arrays.deepToString(dp));
for(int i=1;i<m;i++)
{
for(int j=1;j<n;j++)
{
dp[i][j]=Math.min(dp[i-1][j],dp[i][j-1])+grid[i][j];
}
}
return dp[m-1][n-1];
}
有效数字
验证给定的字符串是否可以解释为十进制数字。
例如:
"0" => true
" 0.1 " => true
"abc" => false
"1 a" => false
"2e10" => true
" -90e3 " => true
" 1e" => false
"e3" => false
" 6e-1" => true
" 99e2.5 " => false
"53.5e93" => true
" --6 " => false
"-+3" => false
"95a54e53" => false
说明: 我们有意将问题陈述地比较模糊。在实现代码之前,你应当事先思考所有可能的情况。
这里给出一份可能存在于有效十进制数字中的字符列表:
数字 0-9
指数 - "e"
正/负号 - "+"/"-"
小数点 - "."
当然,在输入中,这些字符的上下文也很重要。
更新于 2015-02-10:
C++函数的形式已经更新了。如果你仍然看见你的函数接收 const char * 类型的参数,请点击重载按钮重置你的代码。
分析
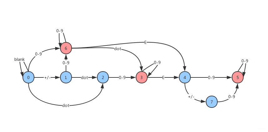
这题其实挺麻烦的,我也是根据样例不停的测试然后才最终得到正确的结果。这些数字和符号有一定的规律和要求。 我的分析就是将数字分成三块 e前,e,e后。而每个数字可能是符号数字小数点等组成需要满足一定规律。符号可以没有,但是数字必须有! 具体可以参考这张图:

实现代码为:
public boolean isNumber(String s) {
s=s.trim();
char str[]=s.toCharArray();
boolean smallpoint=false;//小数点
boolean ise=false;//是否遇到e
int localindex=0;//当前数字指标
// 整体思路 左侧部分 e 右侧部分
for(int i=0;i<str.length;i++)
{
if(localindex==0&&(str[i]=='+'||str[i]=='-'))// + -号必须出现在前面 也就是localindex=0
{
if(smallpoint)return false; //小数点后不能有+- 例如0.+3
continue;//否则继续
}
else if (str[i]=='.') {
if(smallpoint||ise)//当有小数点或者在e后面 不能3.12.5 也不能1e2.3
return false;
else {
smallpoint=true;//否则将标记出现过小数点
}
}
else if ((str[i]=='e'||str[i]=='E')&&localindex>0) {//遇到e
if(ise)return false;//如果已经有e 那么返回false 不能 4e5e
else {
smallpoint=false;//否则说明正常,开始统计e右侧部分。e右侧部分开始重新统计
ise=true;//标记e已经出现
localindex=0;//数字编号
}
}
else if (str[i]>='0'&&str[i]<='9') {
localindex++;
}
else {
return false;
}
}
if (localindex>0) {
return true;
}
else
return false;
}
还有这种方法就是有限状态机(DFA)解决,具体解释看题解吧:

class Solution {
public int make(char c) {
switch(c) {
case ' ': return 0;
case '+':
case '-': return 1;
case '.': return 3;
case 'e': return 4;
default:
if(c >= 48 && c <= 57) return 2;
}
return -1;
}
public boolean isNumber(String s) {
int state = 0;
int finals = 0b101101000;
int[][] transfer = new int[][]{{ 0, 1, 6, 2,-1},
{-1,-1, 6, 2,-1},
{-1,-1, 3,-1,-1},
{ 8,-1, 3,-1, 4},
{-1, 7, 5,-1,-1},
{ 8,-1, 5,-1,-1},
{ 8,-1, 6, 3, 4},
{-1,-1, 5,-1,-1},
{ 8,-1,-1,-1,-1}};
char[] ss = s.toCharArray();
for(int i=0; i < ss.length; ++i) {
int id = make(ss[i]);
if (id < 0) return false;
state = transfer[state][id];
if (state < 0) return false;
}
return (finals & (1 << state)) > 0;
}
}
作者:user8973
链接:https://leetcode-cn.com/problems/valid-number/solution/biao-qu-dong-fa-by-user8973/
来源:力扣(LeetCode)
加一
给定一个由 整数 组成的 非空 数组所表示的非负整数,在该数的基础上加一。
最高位数字存放在数组的首位, 数组中每个元素只存储单个数字。
你可以假设除了整数 0 之外,这个整数不会以零开头。
示例 1:
输入:digits = [1,2,3]
输出:[1,2,4]
解释:输入数组表示数字 123。
示例 2:
输入:digits = [4,3,2,1]
输出:[4,3,2,2]
解释:输入数组表示数字 4321。
示例 3:
输入:digits = [0]
输出:[1]
提示:
1 <= digits.length <= 100
0 <= digits[i] <= 9
分析:简单题,只需要本本分分模拟即可,将数组最后一位加一,如果产生进位一直向前判断是否还需要进位。有一个需要注意的地方就是如果结束第0位也需要进位那么需要重新创建数组扩容赋值返回。
实现代码:
class Solution {
public int[] plusOne(int[] digits) {
if(digits [digits.length-1]++==9)
for(int i=digits.length-1;i>0;i--)
{
digits[i]=0;
if(++digits[i-1]!=10)
break;
}
if(digits[0]==10)
{
int value[]=new int[digits.length+1];
digits[0]=0;
value[0]=1;
System.arraycopy(digits,0,value,1,digits.length);
return value;
}
return digits;
}
}

原创不易,bigsai请你帮两件事帮忙一下:
-
点赞、在看、分享支持一下, 您的肯定是我创作的源源动力。
-
微信搜索「bigsai」,关注我的公众号,不仅免费送你电子书,我还会第一时间在公众号分享知识技术。加我还可拉你进力扣打卡群一起打卡LeetCode。
记得关注、咱们下次再见!

6

被折叠的 条评论
为什么被折叠?



